

Die Polyester-Faltenfilterpatronen der PET-Serie von Hongtek bestehen aus plissierten Polyester-Filtermedien (PET) mit zentralem Kern und hochwertiger Endkappe. Faltenkartuschen aus Polyester zeichnen sich durch einen geringen Druckabfall und eine hohe Durchflusskapazität aus. PET-Faltenpatronen werden aus 100 % synthetischen Fasern hergestellt, die frei von Bindemitteln oder Klebstoffen sind und eine hochwirksame Retentionseffizienz aufweisen. Darüber hinaus sind sie waschbar und wiederverwendbar.
Faltenfilterpatronen aus Polyester, auch Wasserersatzfilter genannt. Das plissierte Design vergrößert die Oberfläche und verlängert die Lebensdauer, was PET-Plisseekartuschen zu einer der wirtschaftlichsten Optionen in der Wasseraufbereitung macht.
| Medien filtern | Polyester (PET) |
| Länge | 5", 9,75", 9,8", 10", 20", 30", 40" |
| Außendurchmesser | 2,68"(68mm) |
| Innendurchmesser | 1,1" (28 mm) |
| Filtrationsbewertung | 1 μm, 5 μm, 10 μm, 20 μm, 30 μm, 50 μm, 100 μm |
| Kern | Polypropylen |
| Äußeres Netz | Polypropylen |
| Endkappen/Dichtungen | Plastisol/Polyurethan |
| Endkappentyp | Doppeltes offenes Ende (DOE) |
● Hervorragende Kompatibilität mit einer Vielzahl von Chemikalien und Desinfektionsmitteln
● Weniger Wechsel, einfaches Waschen und Wiederverwenden, weniger Wartungsaufwand
● In vielen Längen erhältlich, um unterschiedlichen Anforderungen und Ausrüstungsanforderungen gerecht zu werden
● Endkappen/Dichtungen aus Plastisol (PVC) bieten eine positive Abdichtung und eine große Filterfläche mit hoher Durchflussrate
● Das Außennetz aus Polypropylen erhöht die Druckfestigkeit und verlängert die Lebensdauer der PET-Faltenkartuschen
| PCW | Vor RO/DI | Elektronik |
| Trinkwasser | Kühlwasser | Essen & Getränke |
| Arzneimittel | Industrielles Wasser und Beschichtung | Chemikalien und organische Lösungsmittel |
Betriebsdaten für Polyester-Plisseefilterpatronen
| Maximale Betriebstemperatur | 75℃(167℉) |
| Max. Differenzdruck | 4,8 bar bei 20 ℃ (70 psi bei 68 ℉) |
| 3,4 bar bei 50 ℃ (50 psi bei 122 ℉) | |
| Maximaler Gegendruck | 40 psid bei 70 °F (2,8 bar bei 21 °C) |
| Empfohlener Austausch-Differenzdruck | 2,4 bar (35 psid) |
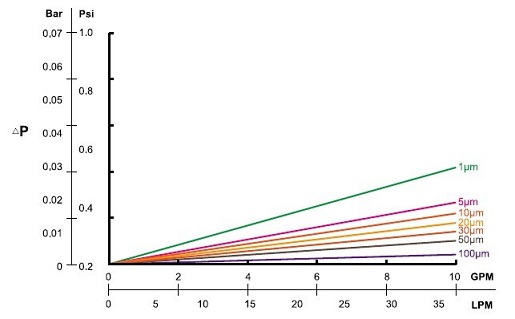
Druckabfallrate für 10-Zoll-Polyester-Plisseefilterpatronen


● Die Hongtek-Endkappe besteht aus hochwertigem Polyurethan. Die glatte Oberfläche eignet sich gut zum Abdichten, während andere aus minderwertigem Kleber und rau bestehen
● Hongtek-PET-Faltenfilter sind eng plissiert und haben eine größere Filterfläche, während es sich bei anderen Filtern um spärlich plissierte Filter mit geringerer Oberfläche handelt
● Die Faltenanzahl der Hongtek-Polyester-Faltenpatronen ist gleich oder größer als 50, wenn die Anzahl der Falten bei geringer Qualität unter 50 liegt
● Hongtek PET-Faltenpatronen verfügen über ein fortschrittliches Außennetz, um die gesamte Konstruktion zu verstärken, andere eignen sich nicht gut für ein sauberes Außennetz
| PET | Länge | Mikron-Bewertung | Draußen |
|
PET-Serie Faltenfilterpatronen aus Polyester |
5 = 5" | 1 = 1μm | W = Mit PP-Netz |
| 9,75 = 9,75" | 5 = 5μm | ||
| 9,8 = 9,8" | 10 = 10μm | ||
| 10 = 10" | 20 = 20μm | ||
| 20 = 20" | 30 = 30μm | O = Ohne Netting | |
| 30 = 30" | 40 = 40μm | ||
| 40 =40" | 50 = 50μm | ||
| 100 = 100μm |
Zum Beispiel:
PET-10-5-W
Polyester-Plisseefilterpatronen der PET-Serie – 10 Zoll – 5 μm – mit PP-Netz